11.01.26
Biglietteria
Serie A Enilive | Lazio-Como, la vendita dei tagliandi
Tutti i dettagli!

La S.S. Lazio comunica che dalle ore 10:00 di martedi 13 gennaio saranno messi in vendita i biglietti per la gara interna di Serie A Enilive contro il Como, in programma lunedi 19 gennaio alle ore 20:45.
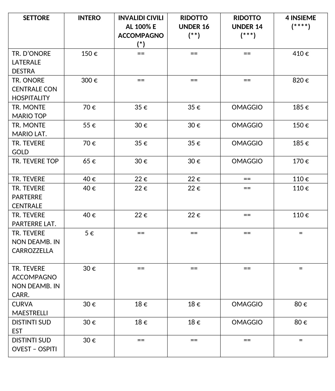
Per questa gara è stata attivata la speciale tariffa 4 insieme, con cui sarà possibile acquistare 4 biglietti dello stesso settore ad un prezzo vantaggioso. Per poter usufruire di questa iniziativa, è obbligatorio acquistare tutti e 4 i biglietti e contemporaneamente.
Sarà possibile acquistare i biglietti presso:
ON-LINE tramite il circuito Vivaticket
Le due tariffe agevolate, Invalidi al 100% e Disabili in carrozzella, entrambi con accompagnatori, si potranno acquistare solo presso i negozi Lazio Style 1900.
TUTTI COLORO CHE SONO IN POSSESSO DELLA FIDELITY CARD MILLENOVECENTO O EAGLE E NON SONO ABBONATI, POTRANNO RICHIEDERE AL MOMENTO DELL’ACQUISTO ANCHE ON LINE CHE, IL TITOLO D`INGRESSO VENGA CARICATO ELETTRONICAMENTE SULLA STESSA.
Al costo dei biglietti online, verrà applicata una commissione di servizio pari al 3,80%.(*) I biglietti ridotti Invalidi Civili al 100% e la Tribuna Tevere non deambulanti entrambi con accompagnatore, posso essere acquistati solo presso i negozi Lazio Style 1900.
(**) Possono acquistare un tagliando Ridotto Under 16 i ragazzi nati dal 01/01/2010.
(***) Tutti i ragazzi nati dal 01/01/2012 accompagnati da un genitore (o parente entro il 4° grado) in possesso di biglietto a pagamento, potranno accedere gratuitamente allo stadio ritirando contemporaneamente l’apposito tagliando nominativo omaggio e il biglietto a pagamento dell’accompagnatore.
L’operazione Omaggio Under 14 si potrà essere effettuata esclusivamente presso uno dei Lazio Style 1900 e, solo il giorno della gara, presso la biglietteria di Via Nigra. Il ritiro del biglietto omaggio under14, deve esser fatto in contemporanea all’acquisto del biglietto dell’adulto. Clicca qui per leggere le indicazioni degli omaggi under 14.
(****) Per poter usufruire di questa iniziativa, è obbligatorio acquistare tutti e 4 i biglietti e contemporaneamente.
I bambini di 4 anni nati dal 01/01/2022 accedono allo stadio gratuitamente e senza biglietto presentando un documento di identità o la tessera sanitaria.
All’ingresso il controllo dell’identità sarà effettuato su ogni singolo spettatore ed è pertanto obbligatorio esibire un documento di identità, compresi i minorenni.
Questi saranno i punti di accesso allo Stadio Olimpico per i possessori dei biglietti:
Via dei Gladiatori per i biglietti Media - Sponsor Hospitality - Tribuna D`Onore - Autorità e Tribuna Monte Mario;
Piazza Lauro De Bosis per i biglietti di Tribuna Tevere, Distinti Sud Est;
Viale delle Olimpiadi per i biglietti di Curva Maestrelli;
Via Nigra-Stadio dei Marmi per i biglietti di Tribuna Disabili in Carrozzella;
Piazza Piero Dodi per i biglietti di Curva Nord - Distinti Nord Est e Nord Ovest - Tribuna Tevere.
Si ricorda che chi acquista fisicamente un biglietto presso un punto vendita è tenuto a mostrare il suo documento di identità, pena l’impossibilità di emettere il titolo di accesso (D.L. 8/2/2010 nr. 8).
Non verranno considerate come documenti idonei alla vendita, tutte le patenti di ultima generazione che non riportano le indicazioni del luogo di residenza.
Nella vendita libera il numero massimo di biglietti acquistabili da una singola persona è di quattro come da disposizioni dell’Osservatorio sulle Manifestazioni Sportive. In questo caso è possibile presentare per le altre eventuali tre persone, anche solo la copia del documento d’identità.
CAMBIO NOMINATIVO
Sarà possibile fare il cambio nominativo dei biglietti e degli abbonamenti, (per questi ultimi sarà possibile farlo per tariffa corrispondente donna per donna – under per under ecc.) cliccando qui.
Il Cambio nominativo è sempre vietato per i biglietti del settore ospiti.
Solo ed esclusivamente il giorno della gara, dalle ore 16:45 sarà aperta la biglietteria presso il box di Via Nigra - Stadio dei Marmi – Sportello Biglietteria.
Presso lo stesso punto vendita, verranno rilasciati i biglietti Coni e FIGC ma solo ed esclusivamente il giorno della gara e solo dalle ore 16:45 alle 18:45 – Sportello Accrediti.
Per esporre uno striscione NON CENSITO DALL’OSSERVATORIO allo stadio, è obbligatorio presentare una richiesta entro 48 ore dall’evento. Clicca qui per scaricare il modulo per poi inviarlo alla mail: SLO@SSLAZIO.IT. Il richiedente verrà contattato solo in caso di esito negativo.